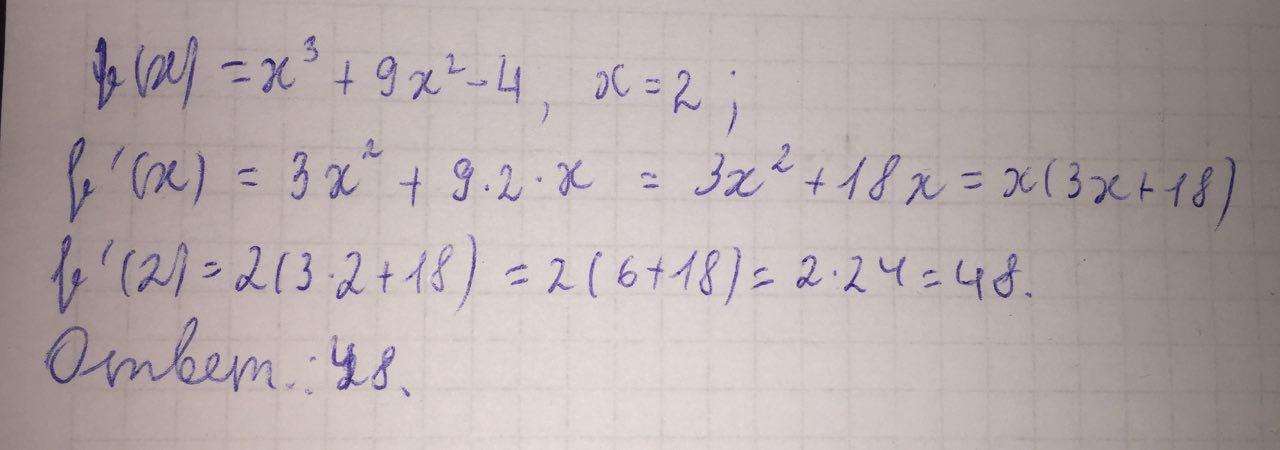
Найдите производную функции в точке x=2f(x)=x^3+9x^2-4
С полным пояснением пожалуйста.

Ответы

Ответ дал: вкпа
0
решение на фото ниже. если возникнут вопросы, ищите в дополнительных источниках что такое производная и как ее искать. 
Приложения:
Вас заинтересует