• Предмет: Математика
  • Автор: ScreaMdakinG172
  • Вопрос задан 8 лет назад

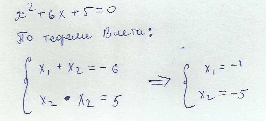
х(в квадрате) +6х+5=0

Приложения:

Ответы

Ответ дал: Нау4пок
0
Решение во вложении.
Приложения:
Вас заинтересует