• Предмет: Алгебра
  • Автор: Аноним
  • Вопрос задан 8 лет назад

Помогите решить,СРОЧНО!МНОГО БАЛЛОВ)

Приложения:

Ответы

Ответ дал: Universalka
0
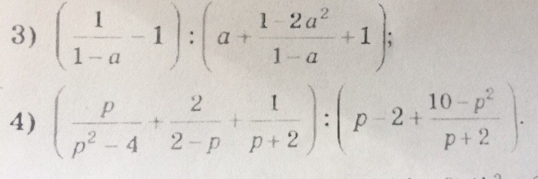
1) frac{1}{1-a}-1= frac{1-1+a}{1-a}= frac{a}{1-a} \\a+ frac{1-2 a^{2} }{1-a}+1= frac{a- a^{2}+1-2 a^{2}+1-a  }{1-a}= frac{-3 a^{2}+2 }{1-a} \\ frac{a}{1-a}: frac{2-3 a^{2} }{1-a}= frac{a}{1-a} * frac{1-a}{2-3 a^{2} }= frac{a}{2-3 a^{2} }

 frac{p}{ p^{2}-4 }+ frac{2}{2-p} + frac{1}{p+2}= frac{p}{(p-2)(p+2)} - frac{2}{p-2}+ frac{1}{p+2} = frac{p-2p-4+p-2}{(p-2)(p+2)}=    =- frac{6}{(p-2)(p+2)}\\\p-2+ frac{10- p^{2} }{p+2} = frac{ p^{2}-4+10- p^{2}  }{p+2}= frac{6}{p+2} \\\- frac{6}{(p-2)(p+2)} : frac{6}{p+2} =- frac{6}{(p+2)(p-2)} * frac{p+2}{6}= frac{1}{2-p}
Ответ дал: Аноним
0
Можно ещё пожалуйста под цифрой 2?
Ответ дал: Universalka
0
А где здесь цифра 2 ?
Ответ дал: Аноним
0
Не крепится,ладно.Спасибо огромное)
Ответ дал: 1Parviz
0
Понял свою ошибку! Спасибо, что заметили!!!
Ответ дал: Universalka
0
Я нашла задание 2 и решила
Вас заинтересует