• Предмет: Математика
  • Автор: iralakhtanova
  • Вопрос задан 8 лет назад

Помогите решить, пожалуйста!
4cos^3(х+pi/2)+sinx=0

Ответы

Ответ дал: artalex74
0
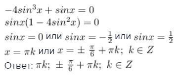
-4sin^3x+sinx=0\
sinx(1-4sin^2x)=0
sinx=0 или sin x=- frac{1}{2} или sinx=frac{1}{2}
x= pi k или x= б frac{ pi }{6} + pi k; k in Z
Ответ:  pi k; б frac{ pi }{6} + pi k; k in Z
Приложения:
Вас заинтересует