• Предмет: Математика
  • Автор: vergeseneee
  • Вопрос задан 8 лет назад

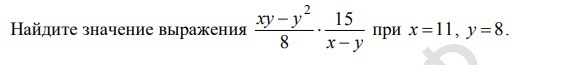
ПОМОГИТЕ ПЛИЗЗЗ))))))

Приложения:

Ответы

Ответ дал: daniltsygankov
0
ответ:15
88-64/8*15/11-8=24/8*15/3=8/8*15=15


Ответ дал: Аноним
0
Решение на фото.
________________
Приложения:
Вас заинтересует