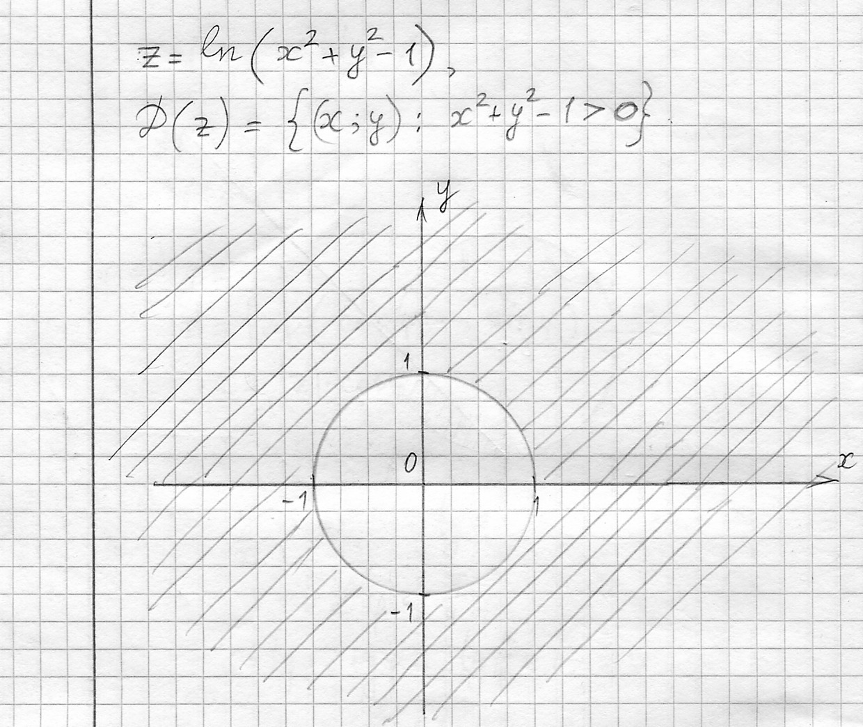
срочно, помогите!найти и изобразить на плоскости область определения функции двух переменных z= ln(x^2 + y^2 - 1)
Ответы
Ответ дал:
0
Решение на листочке ===>>
Приложения:

Ответ дал:
0
помогите пожалуйста решить другие задания
Вас заинтересует
2 года назад
2 года назад
3 года назад
3 года назад
9 лет назад
9 лет назад