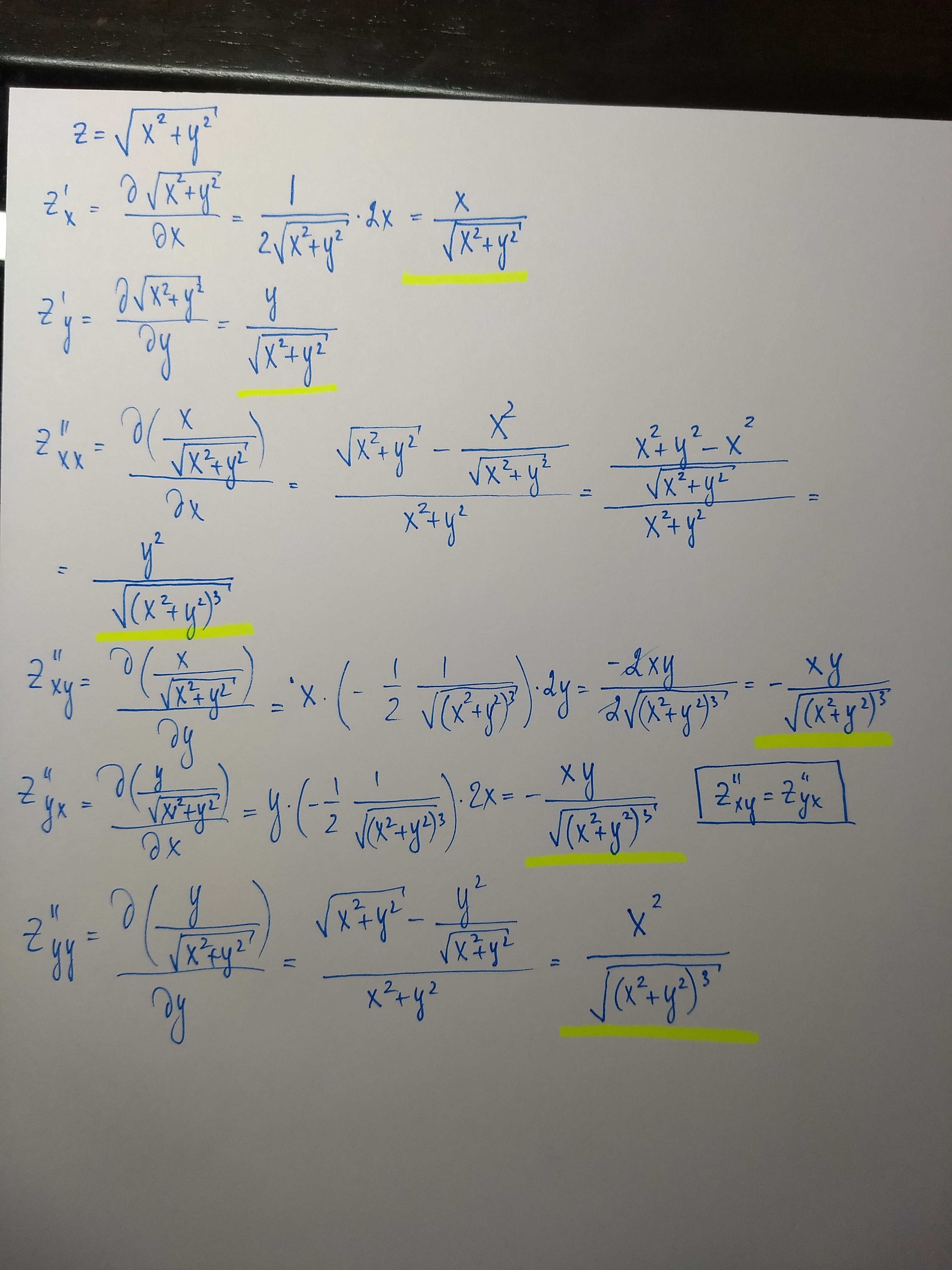
помогите пожалуйстасрочно!!!найти все частные производные второго порядка функции двух переменных z= √(x^2 + y^2)
Ответы
Ответ дал:
0
Ловите решение. Удачи!
Приложения:

Вас заинтересует
2 года назад
2 года назад
3 года назад
3 года назад
9 лет назад