• Предмет: Алгебра
  • Автор: Аноним
  • Вопрос задан 8 лет назад

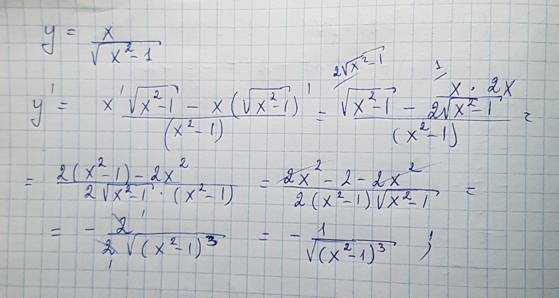
найти производную функции y=x/√(x^2-1)

Ответы

Ответ дал: 1233090
0
решение задания смотри на фотографии
Приложения:
Вас заинтересует