• Предмет: Математика
  • Автор: vakeryaa2409
  • Вопрос задан 8 лет назад

помогите срочно нужно

Приложения:

Ответы

Ответ дал: tyutyurini
0
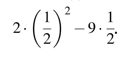
2/4-9/2=1/2-9/2=-8/2=-4
Ответ дал: nakayori
0

2*(1/4)-9/2=2/4-9/2=1/2-9/2=(1-9)/2= - 8/2= - 4


Вас заинтересует