• Предмет: Химия
  • Автор: Goldfish888
  • Вопрос задан 8 лет назад

Решите пожалуйста
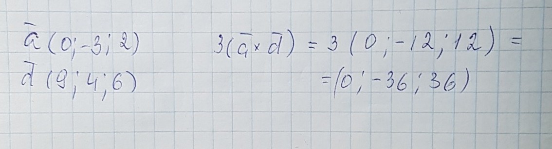
3(вектор а ×вектор d)
a (0;-3;2)
d(9;4;6)
сроооочноооо

Ответы

Ответ дал: 1233090
0
решение задания смотри на фотографии
Приложения:
Вас заинтересует