• Предмет: Математика
  • Автор: nastyatranina
  • Вопрос задан 8 лет назад

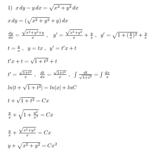
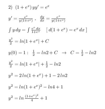
Обыкновенные дифференциальные уравнения первого порядка: а) найти общее решение; б) решить задачу Коши.

Приложения:

Ответы

Ответ дал: NNNLLL54
0

..................................................................................................................................

Приложения:
Вас заинтересует