• Предмет: Физика
  • Автор: kalt
  • Вопрос задан 8 лет назад

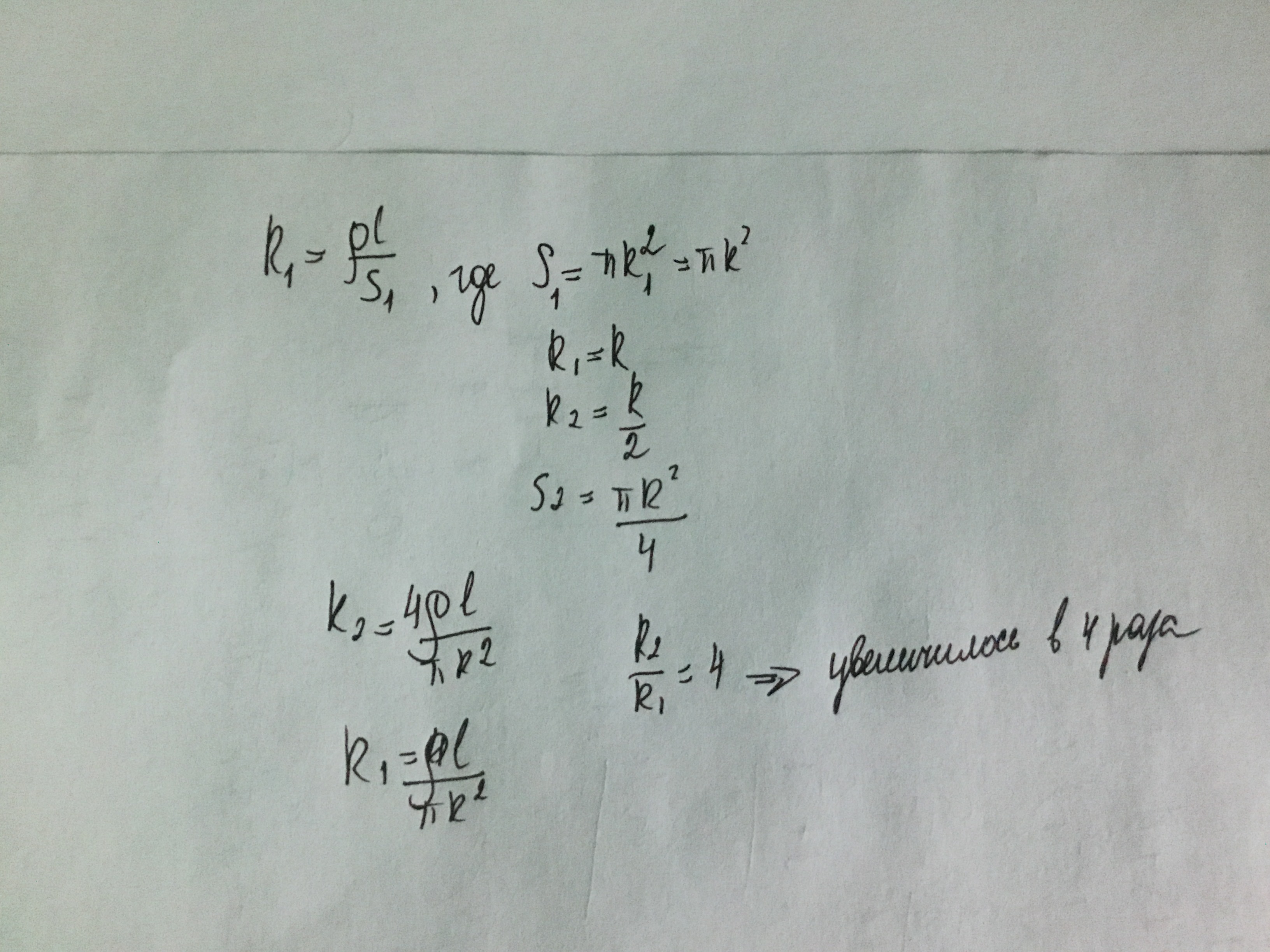
Круглый проводник(цилиндр) сжали в 2 раза(ширину), как изменилось его сопротивление

Ответы

Ответ дал: andreevnavi
0

Приведена формула для нахождения сопротивления проводника. Затем площадь сечения. Из них выражаешь соотношение и находишь

Приложения:
Вас заинтересует