• Предмет: Математика
  • Автор: Vegas1337
  • Вопрос задан 8 лет назад

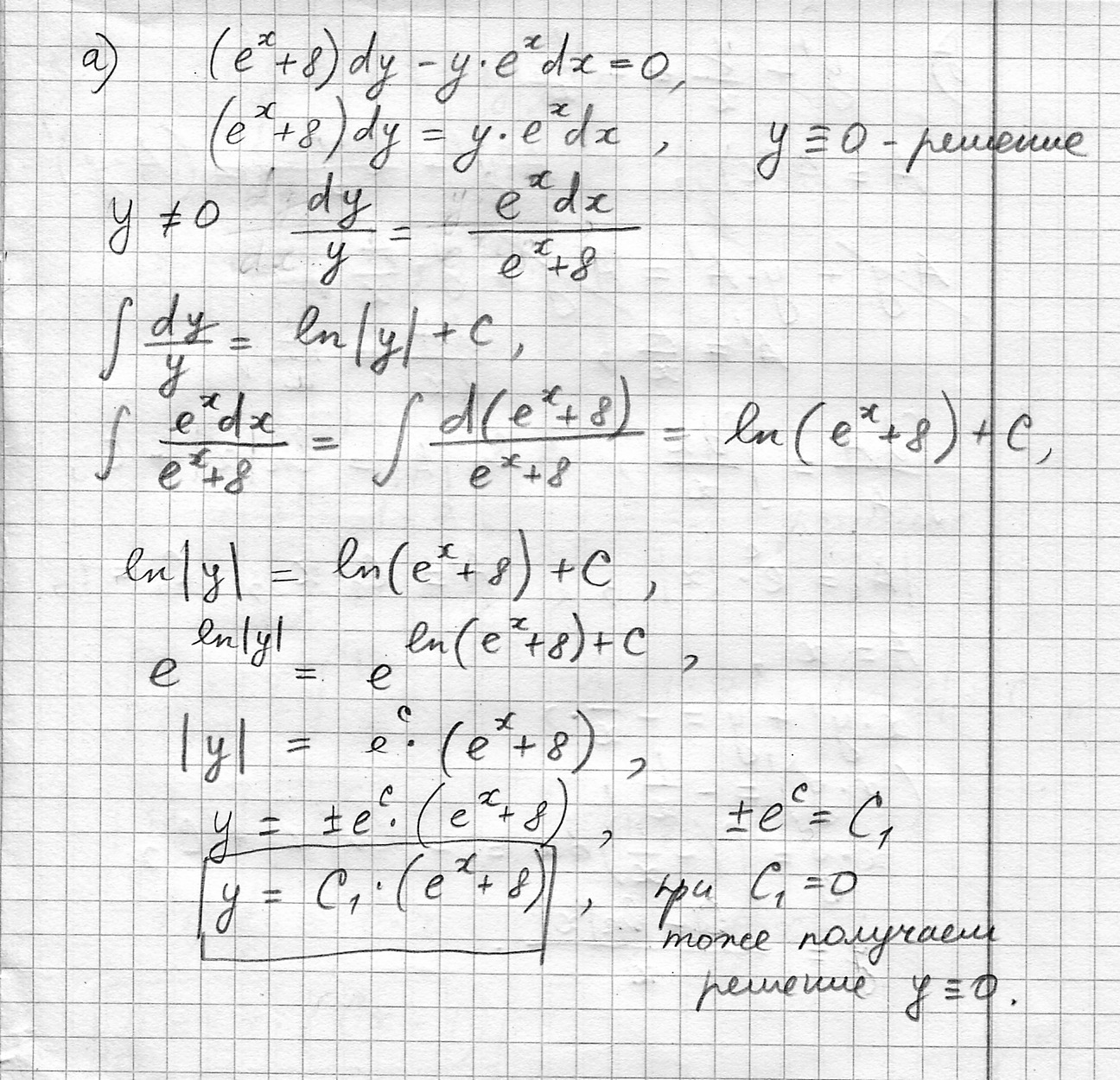
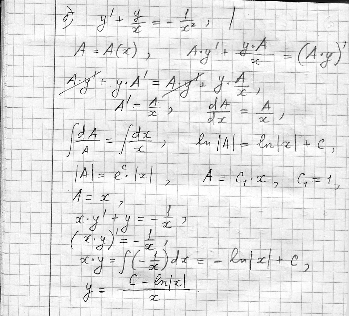
Решите дифференциальное уравнение первого порядка

Приложения:

Ответы

Ответ дал: Аноним
0

я написал решение на трёх листках ===>>

Приложения:
Вас заинтересует