Ответы
Ответ дал:
0
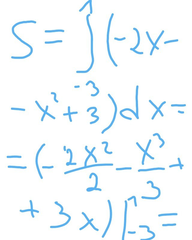
= -1 + 3^2 - 1/3 + (-3)^3/3 +3*1 - 3*(-3) = 11 - 1/3 = 32/3
Приложения:


Вас заинтересует
2 года назад
2 года назад
3 года назад
3 года назад
9 лет назад