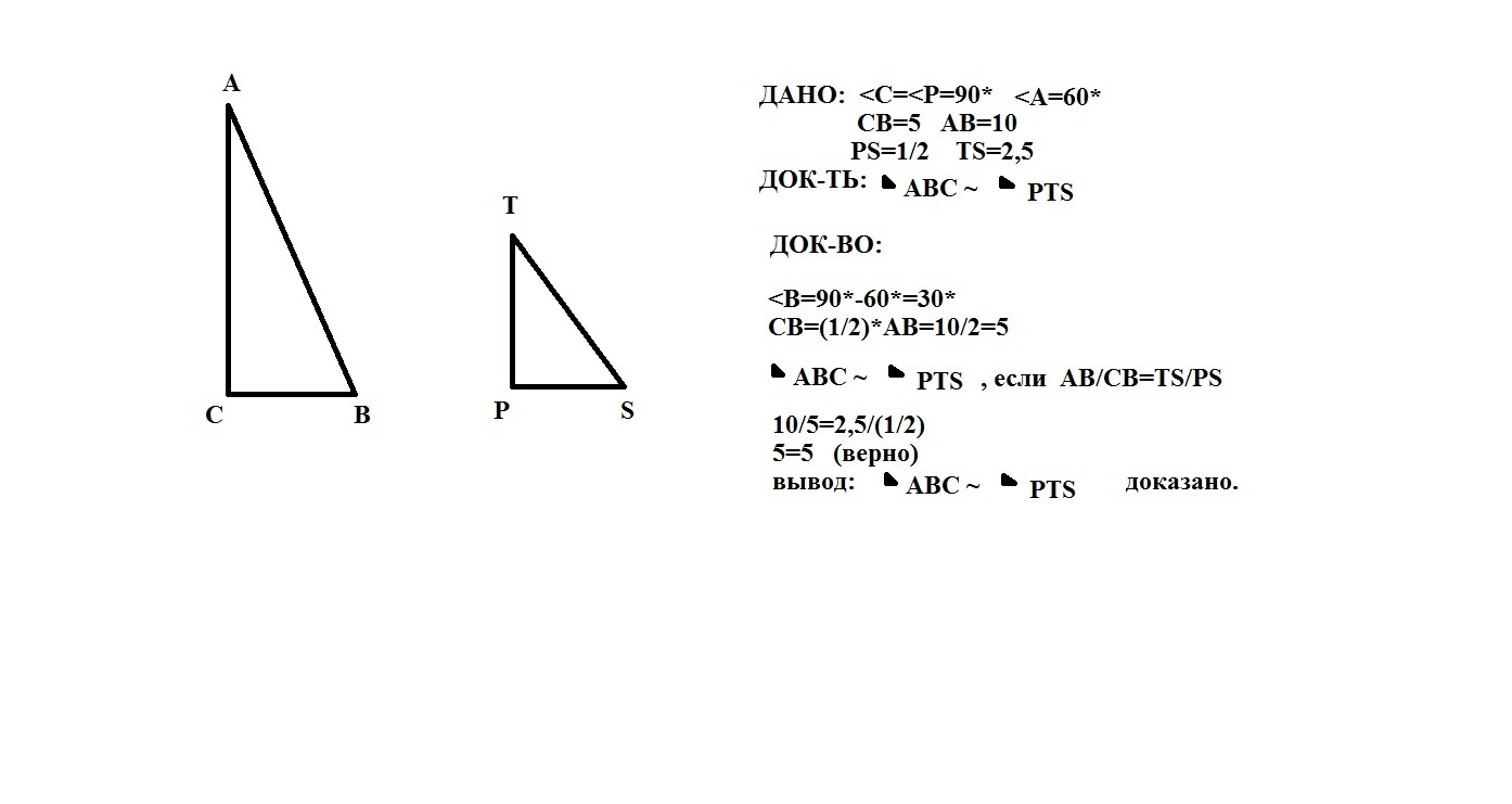
Треугольники ABC и SPT- прямоугольные. <C=<P= 90 Град. < A= 60 гард. SP=1/2 ST. AB= 10 . ST= 2.5 Подобные ли треугольники . если да, то найдите коэффициент подобия
Ответы
Ответ дал:
0
///////////////////////////////////////
Приложения:

Ответ дал:
0
не правильно. я завалил это задание
Вас заинтересует
2 года назад
3 года назад
3 года назад
9 лет назад
9 лет назад
9 лет назад