• Предмет: Математика
  • Автор: anastasijamasti
  • Вопрос задан 8 лет назад

Помогите сделать 2, 3 ,5. Пожалуйста помогите.

Приложения:

Ответы

Ответ дал: Regent1828
0

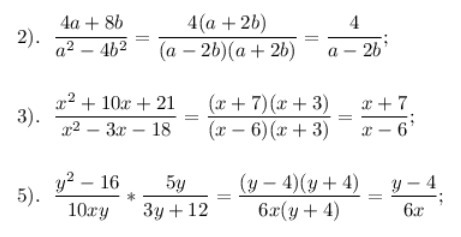
 displaystyle 2).  frac{4a+8b}{a^{2}-4b^{2}}=frac{4(a+2b)}{(a-2b)(a+2b)}=frac{4}{a-2b};\  \  \ 3).   frac{x^{2}+10x+21}{x^{2}-3x-18}=frac{(x+7)(x+3)}{(x-6)(x+3)}=frac{x+7}{x-6};\ \  \5).  frac{y^{2}-16}{10xy}*frac{5y}{3y+12}=frac{(y-4)(y+4)}{6x(y+4)}=frac{y-4}{6x};

Приложения:
Вас заинтересует