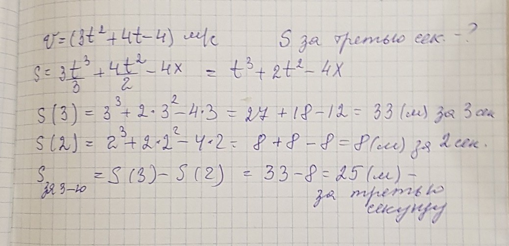
Скорость движения точки V=(3t^2+4t-4) м/с. Найти путь пройденный точкой за третью секунду от начала движения.
Ответы
Ответ дал:
0
решение задания смотри на фотографии
Приложения:
Вас заинтересует
2 года назад
2 года назад
3 года назад
3 года назад
9 лет назад
9 лет назад
10 лет назад
10 лет назад