• Предмет: Алгебра
  • Автор: ромио2003
  • Вопрос задан 8 лет назад

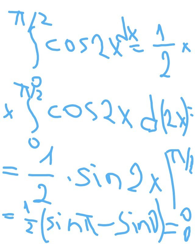
Помогите вычислить интеграл

Приложения:

Ответы

Ответ дал: snow99
0
Вроде должно быть так.
Приложения:
Вас заинтересует