• Предмет: Алгебра
  • Автор: shokoladkakek
  • Вопрос задан 8 лет назад

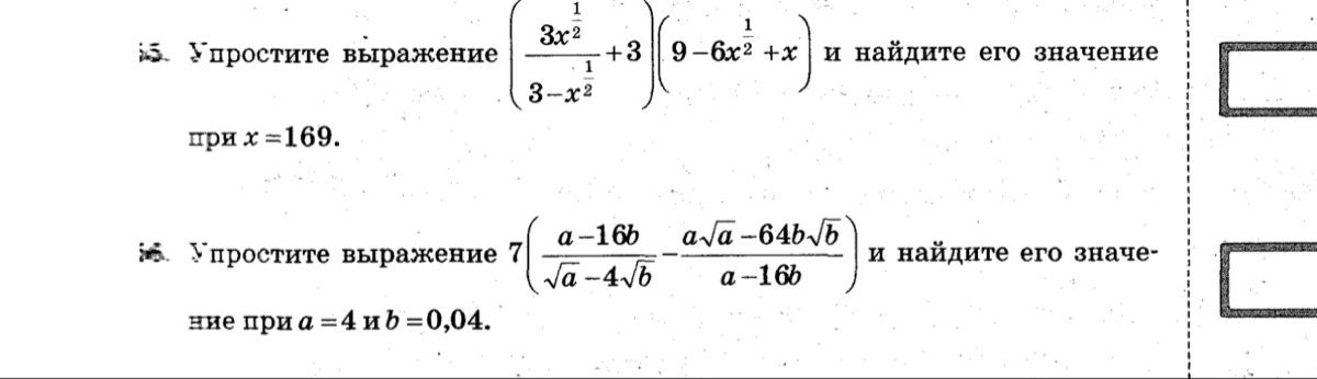
11 класс алгебра решение пожалуйста

Приложения:

Ответы

Ответ дал: NeZeRAvix
0

 boxed1 \ \ left (dfrac{3x^{frac{1}{2}}}{3-x^{frac{1}{2}}}+3 right ) (9-6x^{frac{1}{2}}+x )= dfrac{3x^{frac{1}{2}}+9-3x^{frac{1}{2}}}{3-x^{frac{1}{2}}}(3-x^{frac{1}{2}})^2=\  \= 9(3-x^{frac{1}{2}})=27-9x^{frac{1}{2}}=27-117=-90\ \ boxed2 \ \ 7 left(dfrac{a-16b}{sqrt{a}-4sqrt{b}}   -dfrac{asqrt{a}-64 b sqrt{b}}{a-16b} right)=  \ =7 left(dfrac{(sqrt{a}-4sqrt{b})(sqrt{a}+4sqrt{b})}{sqrt{a}-4sqrt{b}}   -dfrac{asqrt{a}-64 b sqrt{b}}{a-16b} right)=

 =7 dfrac{(sqrt{a}+4sqrt{b})(a-16b)-asqrt{a}+64bsqrt{b}}{a-16b}      =\ =7dfrac{asqrt{a}-16bsqrt{a}+4asqrt{b}-64bsqrt{b}-asqrt{a}+64bsqrt{b}}{a-16b}   =\     = 7 dfrac{4asqrt{b}-16bsqrt{a}}{a-16b} =\   =7dfrac{4sqrt{ab}}{sqrt{a}+4sqrt{b}} =\    =7dfrac{4sqrt{4 cdot 0,04}}{sqrt{4}+4sqrt{0,04}}    =\ =7dfrac{4cdot2cdot0,2}{2+0,8}= 4

Вас заинтересует