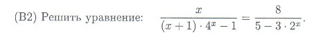
Ответы
                                            Ответ дал: 
                                                                                    
                                        
                                            
                                                
                                                
                                                
                                                    0
                                                
                                            
                                        
                                    нет корней
решаем графически
x₁=0
подставим в исходное уравнение, в знаменателе получаем 0,⇒ не подходит
х₂=-2
подставим в исходное уравнение
равенство выполняется,⇒ х=-2 является корнем уравнения
Приложения:
                     
                            Вас заинтересует
                
                        3 года назад
                    
                
                        3 года назад
                    
                
                        9 лет назад
                    
                