Ответы
Ответ дал:
0
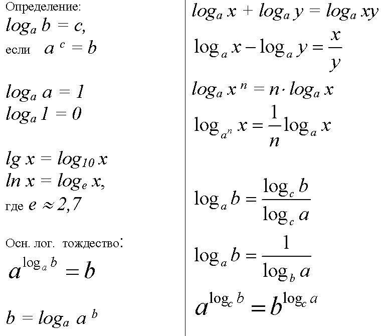
Посмотрите формулы логарифмов, все делается по ним.
Ответ в) 10
Приложения:


Вас заинтересует
2 года назад
2 года назад
3 года назад
3 года назад
9 лет назад