• Предмет: Математика
  • Автор: StrannikPuti
  • Вопрос задан 8 лет назад

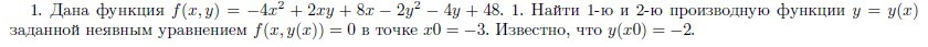
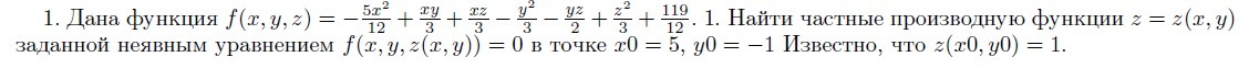
Помогите с математикой

Приложения:

Ответы

Ответ дал: Аноним
0

1010101020102929389247442

Вас заинтересует