Помогите пожалуйста срочно! Добрые люди! Решите пожалуйста систему ГРАФИЧЕСКИМ СПОСОБОМ!!!Решите её пожалуйста на листе бумаги, и вышлите фото в ответ)))))) (Сделайте вместе с графиком)
Буду очень благодарна
Приложения:
Ответы
Ответ дал:
0
Держи.
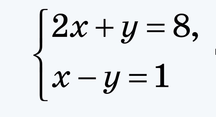
Ответ: решение - (3,2).
Ответ: решение - (3,2).
Приложения:
Ответ дал:
0
Спасибо большое
Вас заинтересует
2 года назад
3 года назад
9 лет назад
9 лет назад
10 лет назад
10 лет назад