• Предмет: Геометрия
  • Автор: nicechizhevska
  • Вопрос задан 8 лет назад

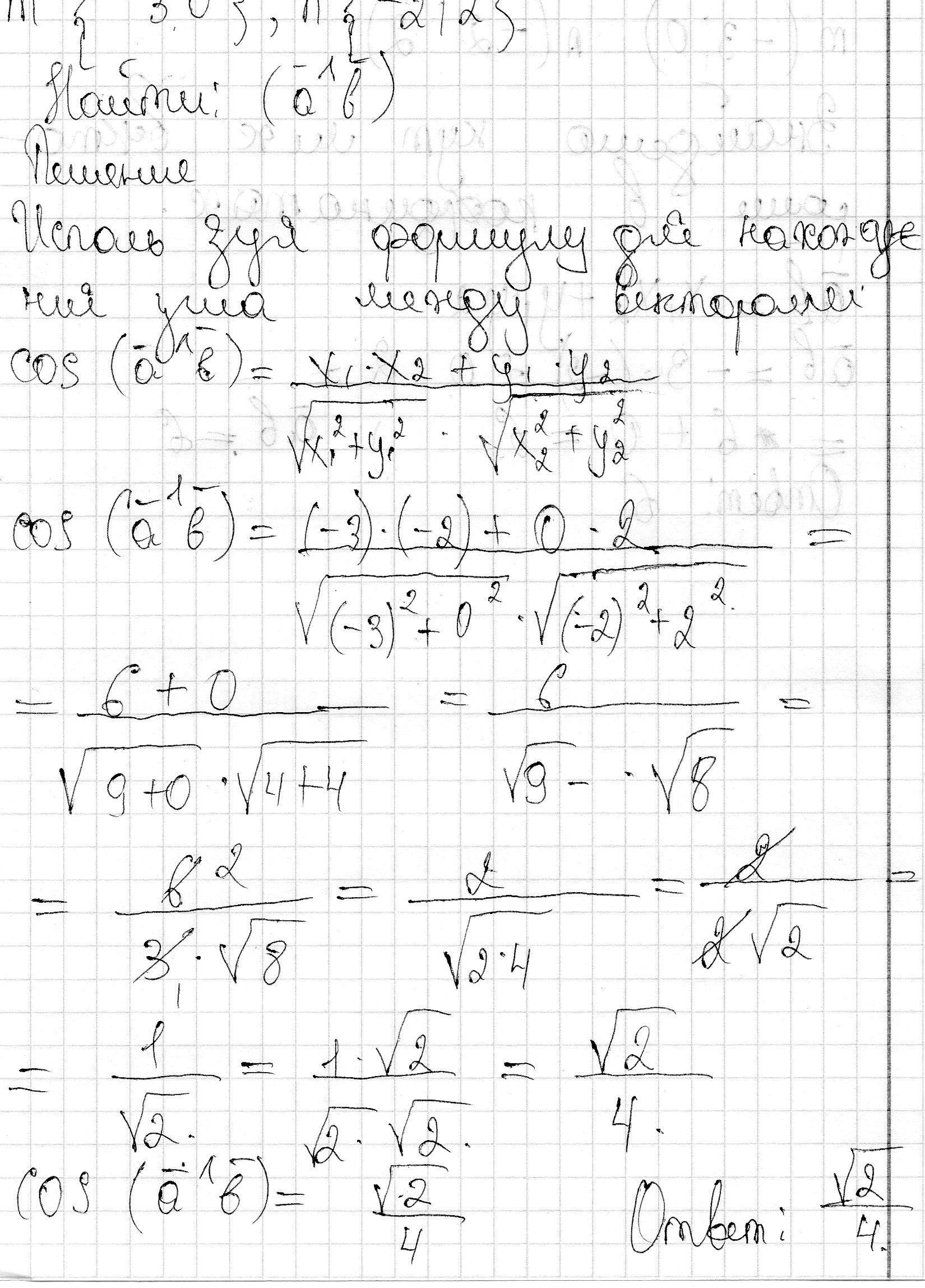
Дано вектори m(-3;0) n(-2;2) . Знайдіть кут між векторами m , n .
Срочно!!!!! пліс розпишіть.

Ответы

Ответ дал: dimonsmitlove
0

Решение на фото.Вычисления сам проверь, но вроде ошибок нет.

Приложения:
Вас заинтересует