• Предмет: Математика
  • Автор: nicechizhevska
  • Вопрос задан 8 лет назад

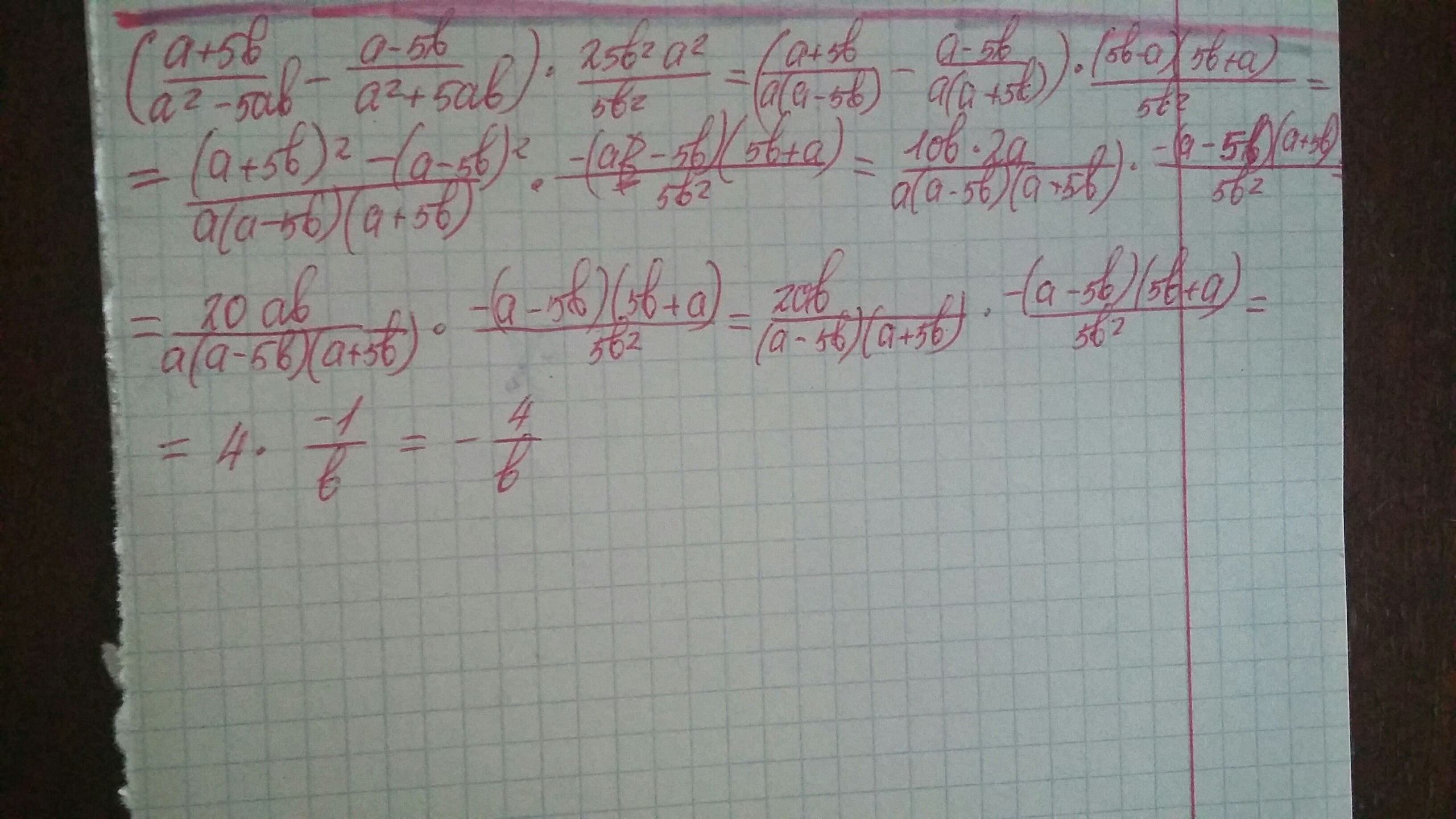
Скоротіть вираз
( frac{a + 5b}{ {a}^{2} 5ab}  -   frac{a -  5b}{a {}^{2}  + 5ab} ) times  frac{25 { b }^{2}  - a {}^{2} }{5b {}^{2} }
Срочно!!!

Ответы

Ответ дал: Аноним
0

на фото

__________

__________

________

Приложения:
Вас заинтересует