10-11 класс!Помогите решить:F (x)=(X^2-3x)*(2x+1) и вычислить f`(2)!В ответе должен получить -27!Срочно помогите плиз
Ответы
Ответ дал:
0
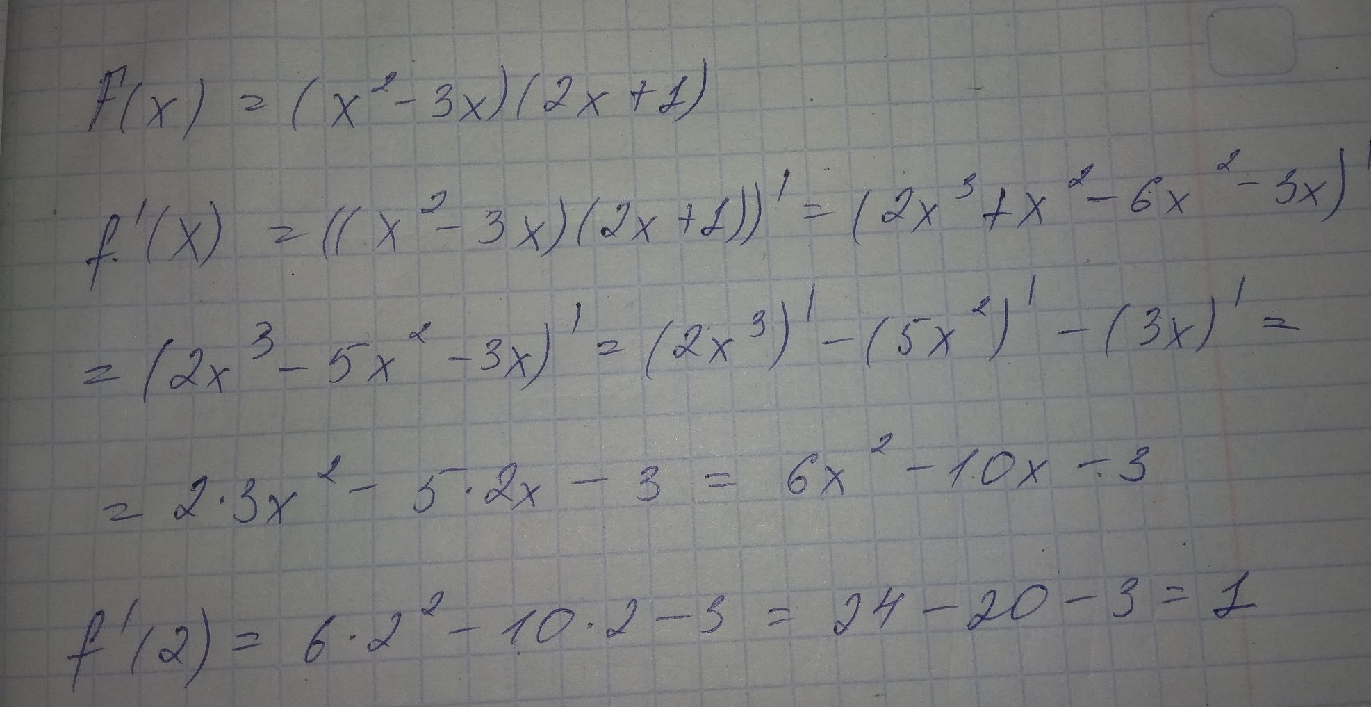
Получается 1.
Не знаю как там может получиться - 27.
Видимо,это недостоверная информация.
P. S. 2 фото-это другой способ решения.
Не знаю как там может получиться - 27.
Видимо,это недостоверная информация.
P. S. 2 фото-это другой способ решения.
Приложения:
Ответ дал:
0
Попробуем так!СПС!Это так в ответе написан и поэтому тоже не понял
Ответ дал:
0
значит в ответе ошибка
Вас заинтересует
2 года назад
3 года назад
3 года назад
9 лет назад
10 лет назад