• Предмет: Математика
  • Автор: Danil211
  • Вопрос задан 8 лет назад

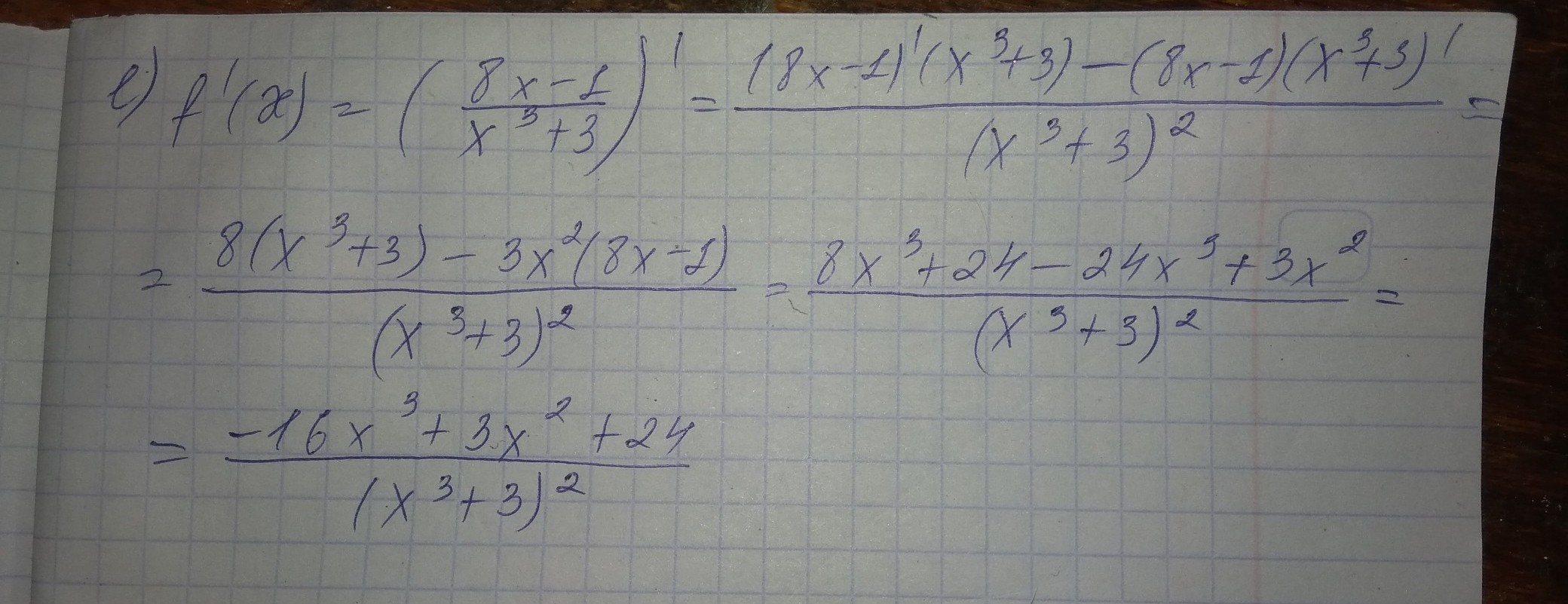
Найдите производные следующих функций

Приложения:

Ответы

Ответ дал: spasibo3pajbrh
0
ответы и решения приведены на фото. удачи!
Приложения:
Ответ дал: sherlok123321
0
Ответы на фото
..............................................................
Приложения:
Вас заинтересует