• Предмет: Математика
  • Автор: simens1099
  • Вопрос задан 8 лет назад

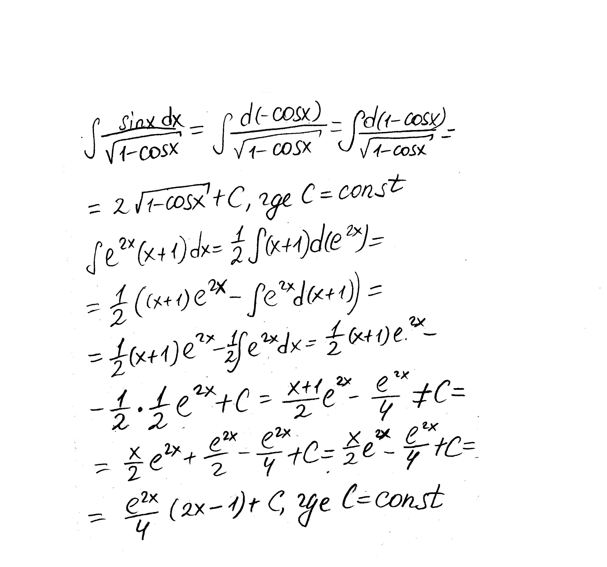
∫(sinx/sqrt(1-cosx))dx Помогите решить методом замены
∫(x+1)e^2*X dx Интегрирование по частям

Ответы

Ответ дал: bearcab
0

Решение в приложении.

Приложения:
Вас заинтересует