• Предмет: Алгебра
  • Автор: gloster0
  • Вопрос задан 8 лет назад

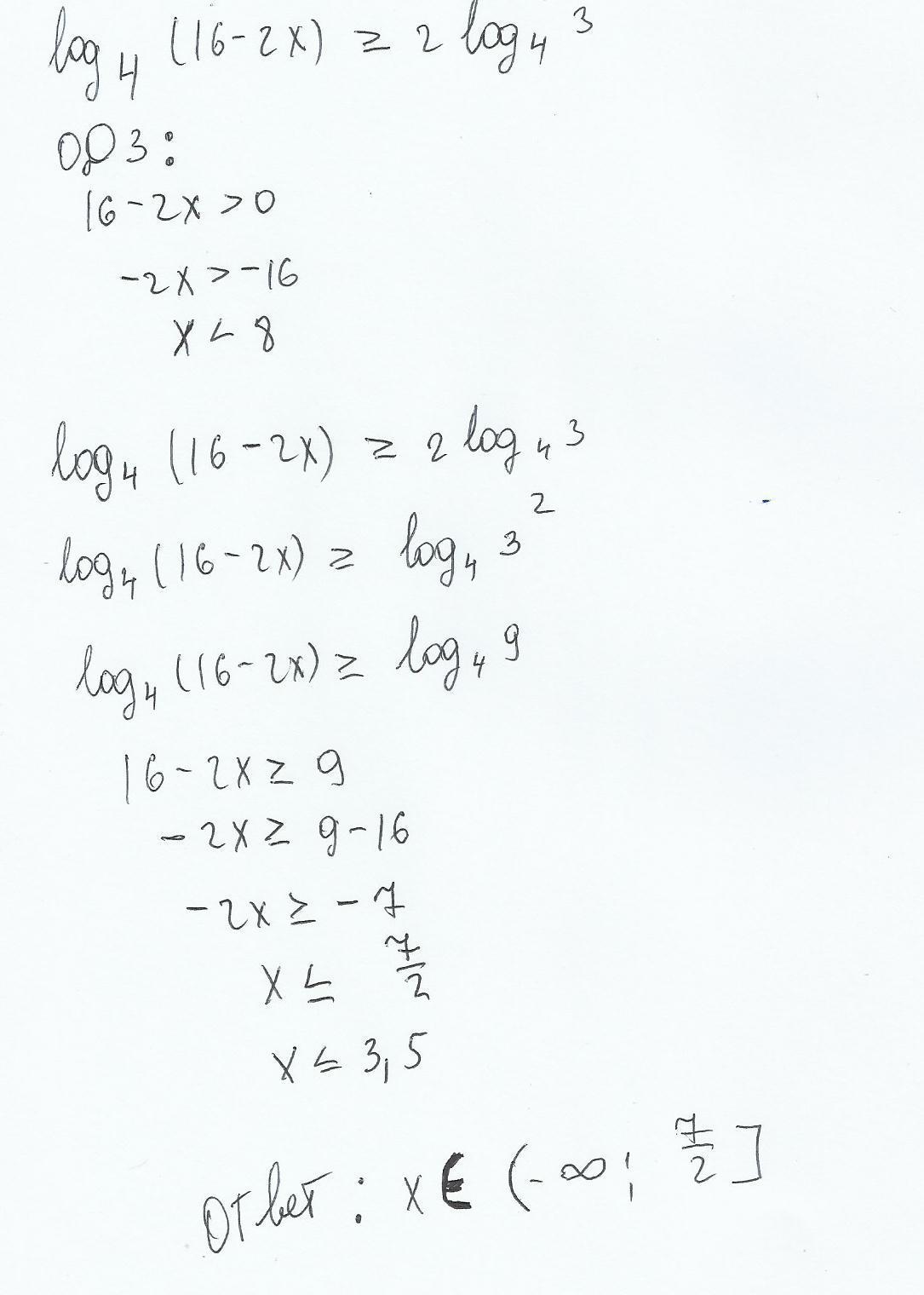
Log 4(16-2x)>=2log4(3) помогите решить пожалуйста

Ответы

Ответ дал: Нау4пок
0

Решение во вложении.

Приложения:
Вас заинтересует