• Предмет: Математика
  • Автор: superyasabina
  • Вопрос задан 8 лет назад

Помогите срочноооооц

Приложения:

Ответы

Ответ дал: bearcab
0

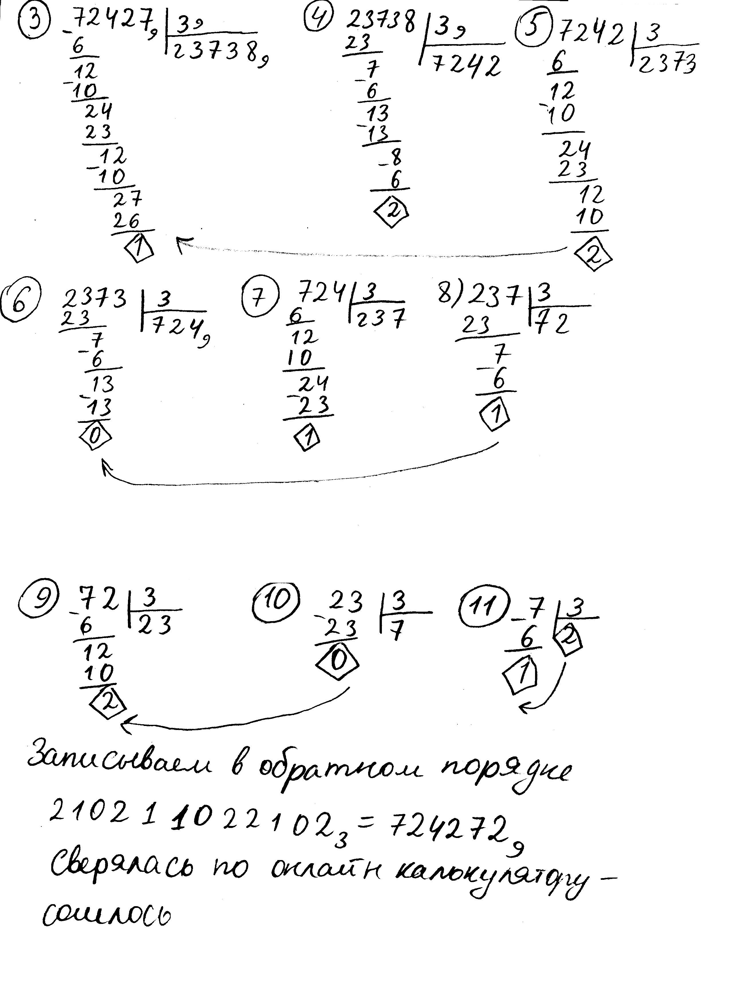
Решение в приложении.

Приложения:
Вас заинтересует