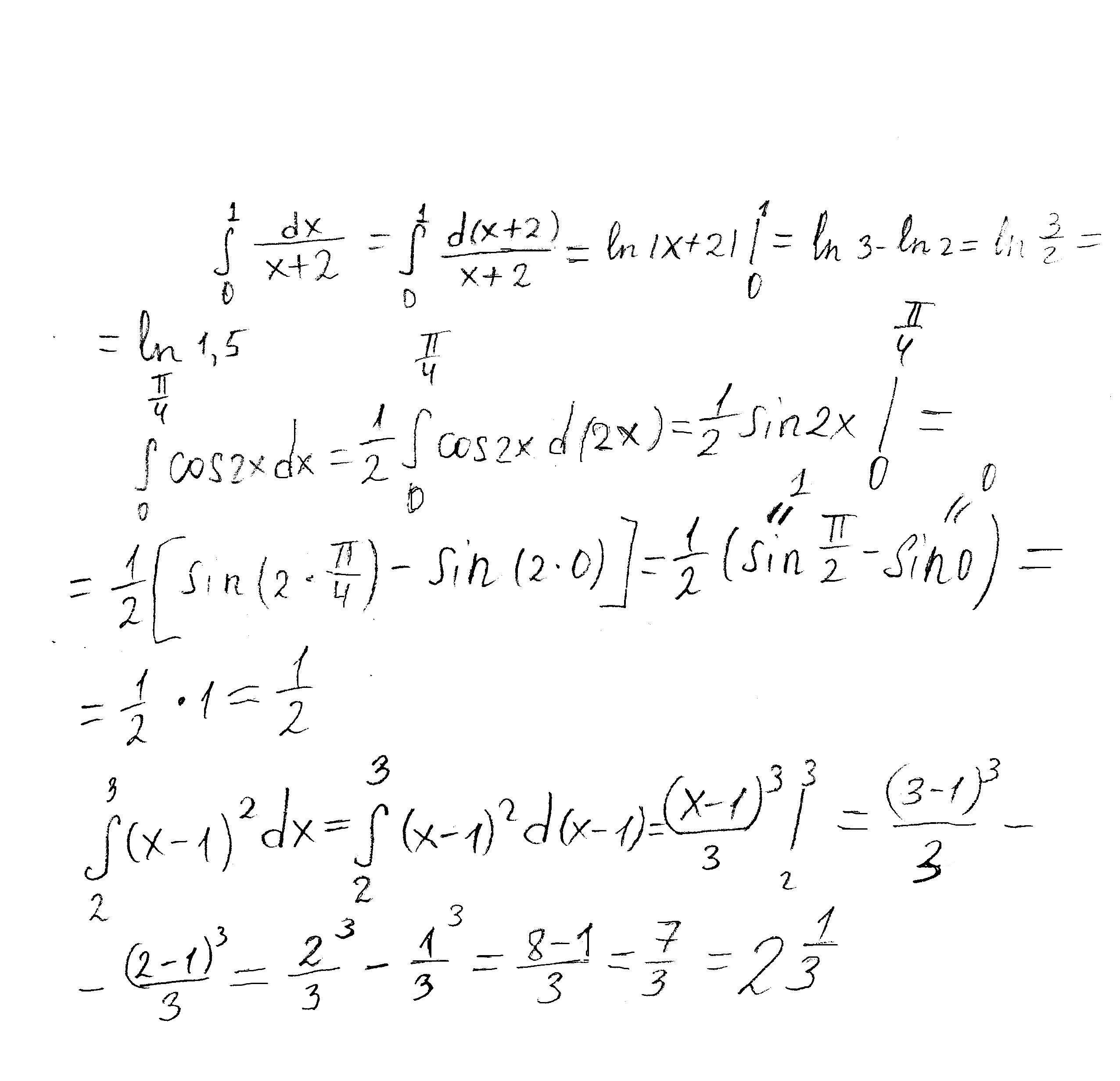
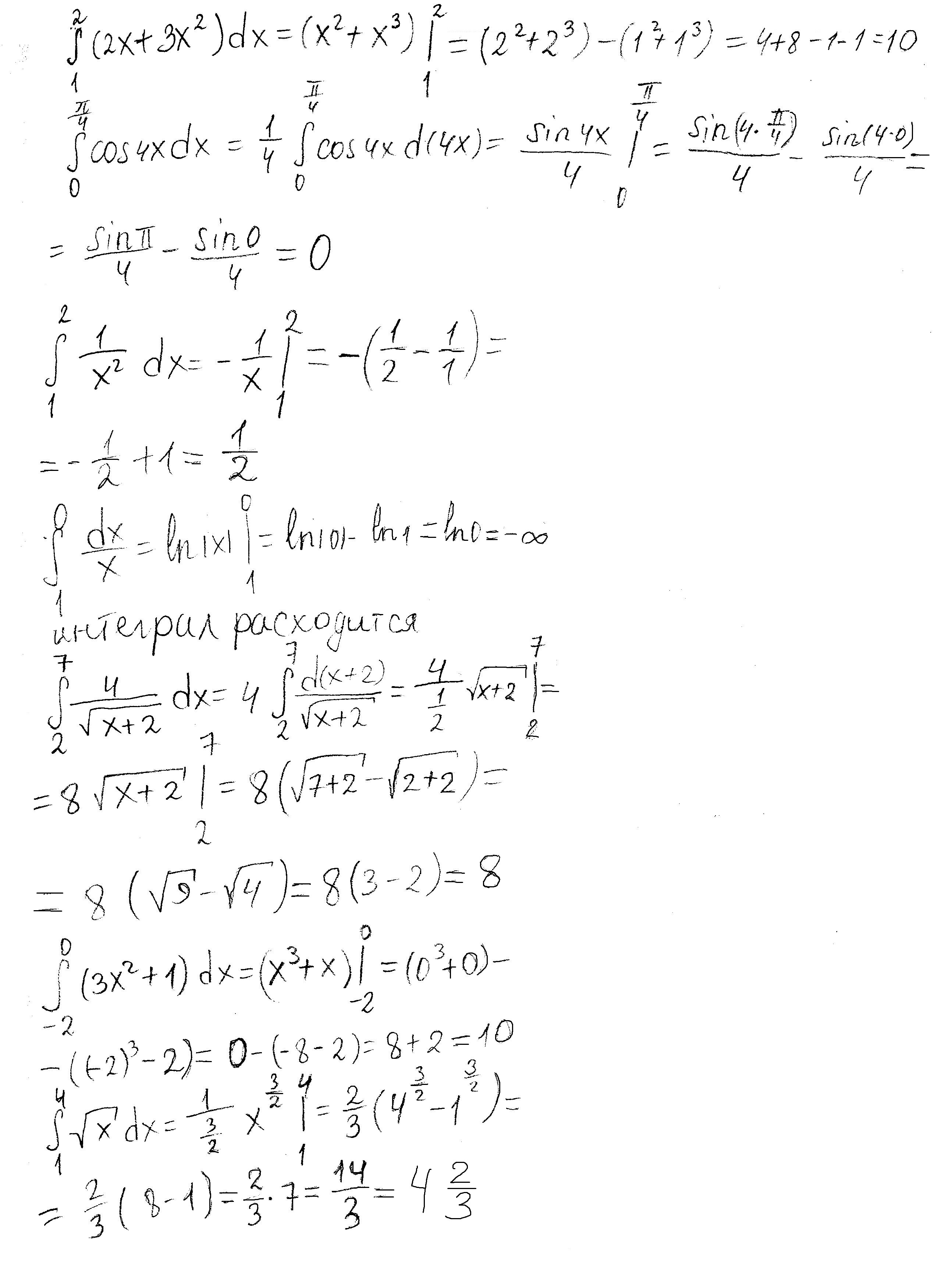
Вычислить определённый интеграл с помощью основных свойств и формулы Ньютона-Лейбница.
Приложения:
Ответы
Ответ дал:
0
Решение в приложении.
Приложения:
Вас заинтересует
2 года назад
2 года назад
3 года назад
3 года назад
9 лет назад
9 лет назад
10 лет назад
10 лет назад