• Предмет: Математика
  • Автор: lbazhenova79
  • Вопрос задан 8 лет назад

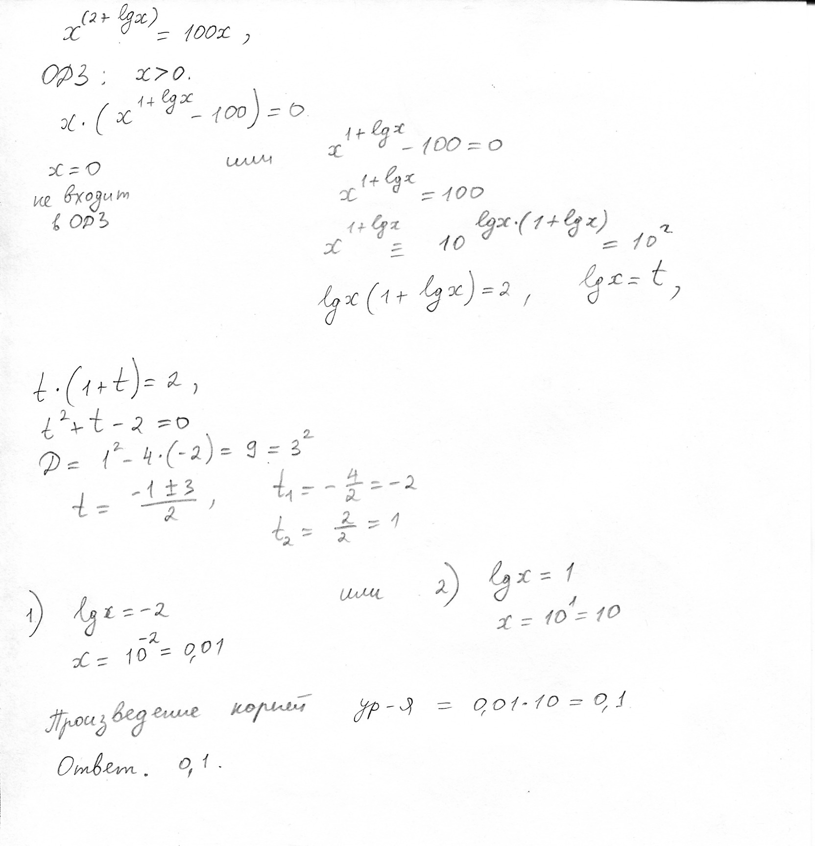
Произведение корней уравнения х^(2+lg⁡х )=100х равно?

Ответы

Ответ дал: Аноним
0

я написал решение на листочке ===>>

Приложения:
Ответ дал: valenivan
0

Решение задания приложено

Приложения:
Вас заинтересует