• Предмет: Математика
  • Автор: 0Romana0
  • Вопрос задан 8 лет назад

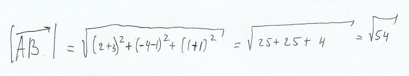
Даны координаты точек А(-3; 1;-1) и В(2;-4;1). Вычислить длину вектора

Ответы

Ответ дал: Нау4пок
0

Решение во вложении.

Приложения:
Вас заинтересует