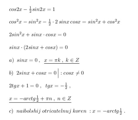
Чому дорівнює найбільший від'ємний корінь рівняння соs2х – 0,5sin2х = 1? Чему равна самый отрицательный корень уравнения соs2х - 0,5sin2х = 1?
Ответы
Ответ дал:
0
...........................................................................................................................................................
Приложения:
Вас заинтересует
2 года назад
2 года назад
3 года назад
3 года назад
9 лет назад
9 лет назад
10 лет назад
10 лет назад