• Предмет: Алгебра
  • Автор: BoSEP
  • Вопрос задан 8 лет назад

Помогите с решением,заранее спасибо!

Приложения:

Ответы

Ответ дал: NNNLLL54
0

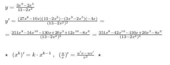
 y=frac{3x^9-2x^5}{13-2x^2}\\y'=frac{(27x^8-10x)(13-2x^2)-(3x^9-2x^5)(-4x)}{(13-2x^2)^2}=\\=frac{351x^8-54x^{10}-130x+20x^3+12x^{10}-8x^6}{(13-2x^2)^2}=frac{351x^8-42x^{10}-130x+20x^3-8x^6}{(13-2x^2)^2}\\\star ; ; (x^{k})'=kcdot x^{k-1}; ,; ; (frac{u}{v})'= frac{u'v-uv'}{v^2}; ; star

Приложения:
Ответ дал: BoSEP
0
Можно в виде фотографии подайлуста?
Ответ дал: BoSEP
0
А то у меня в виде каких-то символов
Ответ дал: NNNLLL54
0
а спасибо нажать ?
Ответ дал: BoSEP
0
Спасибки
Ответ дал: ПрофиЗнания
0

y'= [ (3*9x^8 - 2*5x^4)*(13-2x^2) -(3x^9-2x^5)*(-4x) ] / (13-2x^2)^2

Приложения:
Вас заинтересует