• Предмет: Алгебра
  • Автор: nn8255241
  • Вопрос задан 8 лет назад

Уравнение с корнями! Квадратное. Скрин во вложении.

Приложения:

Ответы

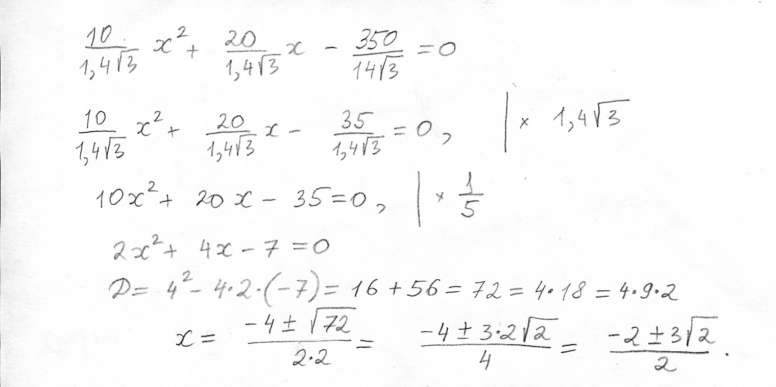
Ответ дал: Аноним
0

смотри прикрепленный листочек ===>>

Приложения:
Ответ дал: nn8255241
0
Спасибо большое! Могу я сюда ещё проблемные задачи скинуть? (Баллов нет...)
Ответ дал: VANILLY
0

Ответ: 4)


На фото

________

Приложения:
Ответ дал: nn8255241
0
Я уже решила. Мне сложно следующее: Найти значение дробь -*x/a)^3, если 9x^2-30ax+25a^2=0
Ответ дал: VANILLY
0
Ответ дал: VANILLY
0
вообще капец
Ответ дал: nn8255241
0
Решила..
Ответ дал: nn8255241
0
125/27
Вас заинтересует