Ответы
Ответ дал:
0
Решение во вложении.
Приложения:

Ответ дал:
0
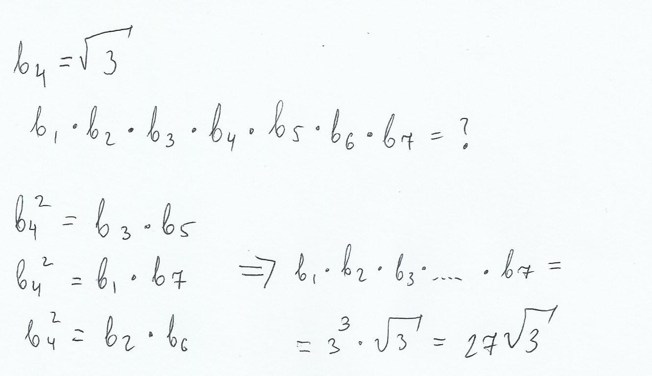
B4²= B3 x B5 это и дальше не понятно.
Ответ дал:
0
b4 = корень из 3
b4 в квадрате = 3
b4 в квадрате = 3
Ответ дал:
0
дальше свойства геометрической прогрессии
Ответ дал:
0
Вот это вещь со степенями как назывется?
Ответ дал:
0
Это называется: среднее геометрическое. Ещё это называют характеристическим свойством геометрической прогрессии. b(n) ^2=b(n-1)*b(n+1)
Вас заинтересует
2 года назад
3 года назад
3 года назад
9 лет назад
9 лет назад
9 лет назад