• Предмет: Физика
  • Автор: aleksandrgilen
  • Вопрос задан 8 лет назад

Физика, помогите с решением

Приложения:

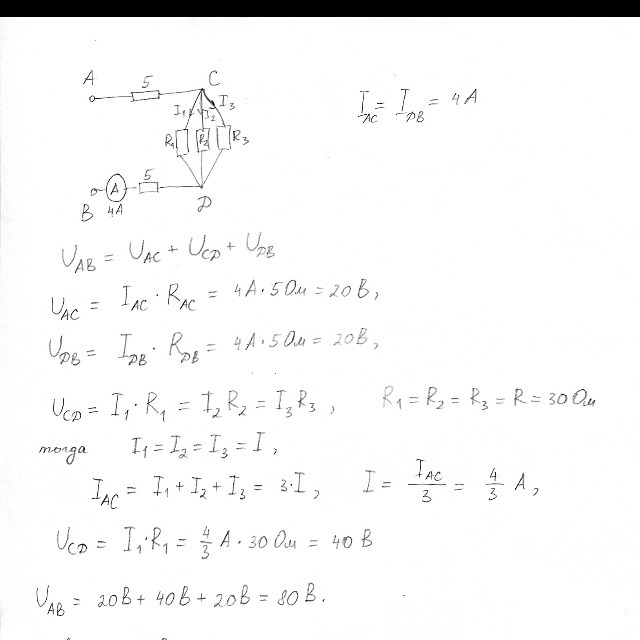
Ответы

Ответ дал: samsmokke
0
Вот держи подгон от НЭСТа
Приложения:
Вас заинтересует