• Предмет: Математика
  • Автор: pshenichnikova20
  • Вопрос задан 8 лет назад

Помогите пожалуйста с 8 заданием

Приложения:

Ответы

Ответ дал: 1233090
0
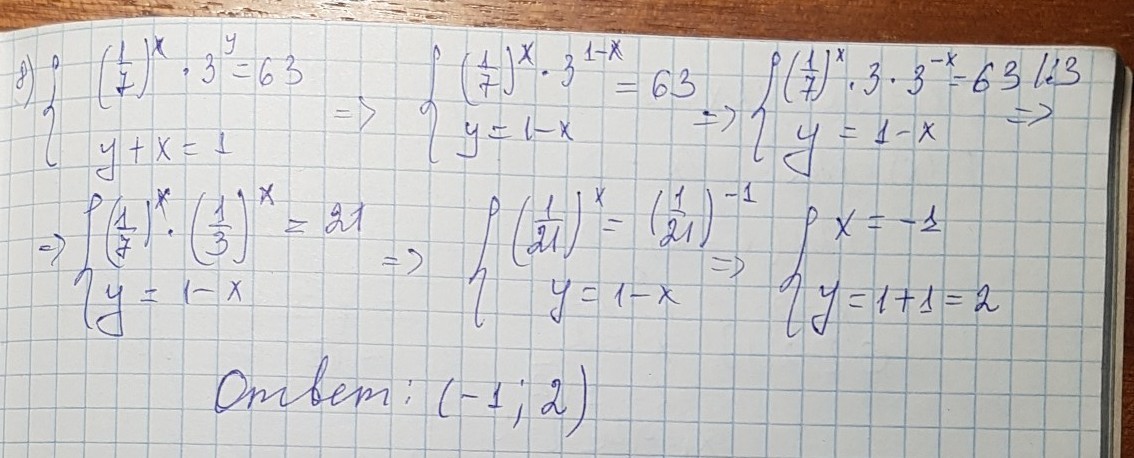
решение задания смотри на фотографии
Приложения:
Вас заинтересует