• Предмет: Алгебра
  • Автор: nkontr74
  • Вопрос задан 8 лет назад

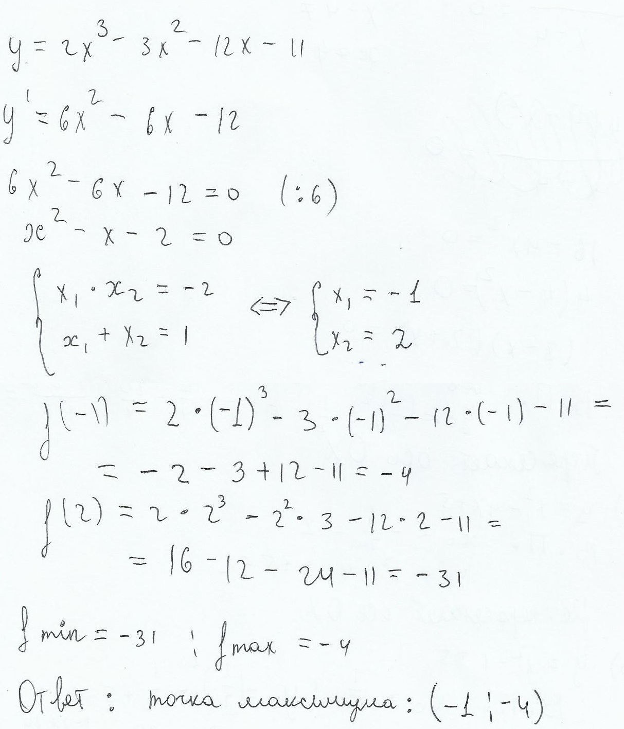
найдите координаты точки максимума функции
решите на листочке, пожалуйста

Приложения:

Ответы

Ответ дал: NeZeRAvix
0

Решено  checkmark

Приложения:
Ответ дал: Нау4пок
0

Решение во вложении.

Приложения:
Вас заинтересует