• Предмет: Математика
  • Автор: mmmttt
  • Вопрос задан 8 лет назад

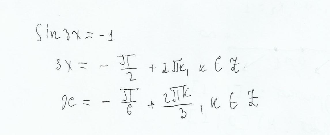
sin3x=-1
решить уравнение

Приложения:

Ответы

Ответ дал: Нау4пок
0

Решение во вложении.

Приложения:
Вас заинтересует