• Предмет: Математика
  • Автор: ksamoilenko
  • Вопрос задан 8 лет назад

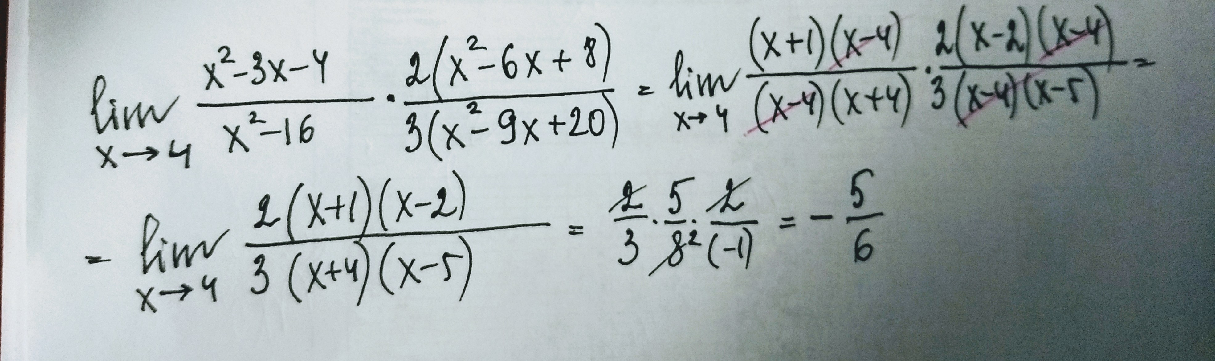
Найдите предел функции. Lim принадлеж 4. x^2-3x-4/x^2-16 * 2x^2-12x+16/3x^2-27x+60

Приложения:

Ответы

Ответ дал: ivanspraguepaar7t
0

Ловите! Трюк избавления от неопределенности в сокращении одинаковых множителей после разложения каждого трехчлена. Удачи!

Приложения:
Вас заинтересует