• Предмет: Математика
  • Автор: afroz1999azizop1zb2u
  • Вопрос задан 8 лет назад

Проиводные y=(sin3x)^x

Ответы

Ответ дал: artalex74
0

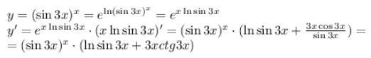
 y=(sin 3x)^x = e^{ln (sin 3x)^x} = e^{x ln sin 3x} \<br />y'= e^{x ln sin 3x} cdot (x ln sin 3x)' = (sin 3x)^x cdot ( ln sin 3x+frac{3x cos 3x}{sin 3x} ) =\ = (sin 3x)^x cdot ( ln sin 3x+3x ctg3x )

Приложения:
Ответ дал: artalex74
0
как я об этом узнаю?
Ответ дал: afroz1999azizop1zb2u
0
1 вопрос. Там у нас (sin3x)^x в конце тоже остался. Это как?
Ответ дал: artalex74
0
Степенно-показательное выражение (sin3x)^x представляем через экспоненту е, т.к. ее производная известна. Причем (e^t)'=e^t·t' (производная сложной функции). Поэтому далее эта экспонента возвращается в исходный вид.
Ответ дал: afroz1999azizop1zb2u
0
Ну теперь понял. Спасибо. Есть ВК
Ответ дал: afroz1999azizop1zb2u
0
Если можно дайте пж?
Ответ дал: justcall
0

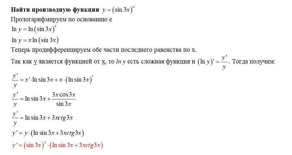
Можно также применить логарифмическое дифференцирование:

Приложения:
Вас заинтересует