• Предмет: Алгебра
  • Автор: dima099876
  • Вопрос задан 8 лет назад

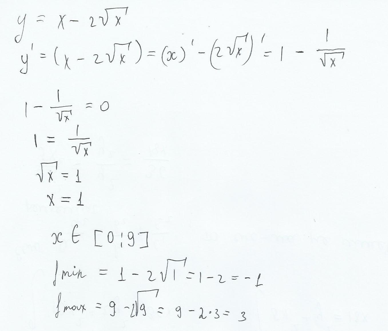
найдите наибольшее или наименьшее значение функции на отрезке: y=x-2√x [0;9]

Ответы

Ответ дал: Нау4пок
0

Решение во вложении.

Приложения:
Вас заинтересует