• Предмет: Математика
  • Автор: serg2999
  • Вопрос задан 8 лет назад

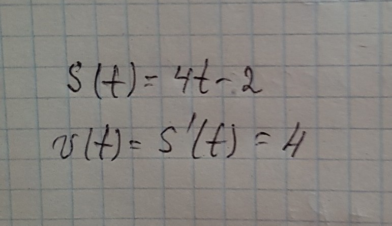
Найти мгновенную скорость точки, движущуюся по закону S(t)=4t-2
Подробное решение

Ответы

Ответ дал: 1233090
0
решение задания смотри на фотографии
Приложения:
Вас заинтересует