• Предмет: Математика
  • Автор: mikayilovorxan0
  • Вопрос задан 8 лет назад

помогите пожалуйста с обьяснением

Приложения:

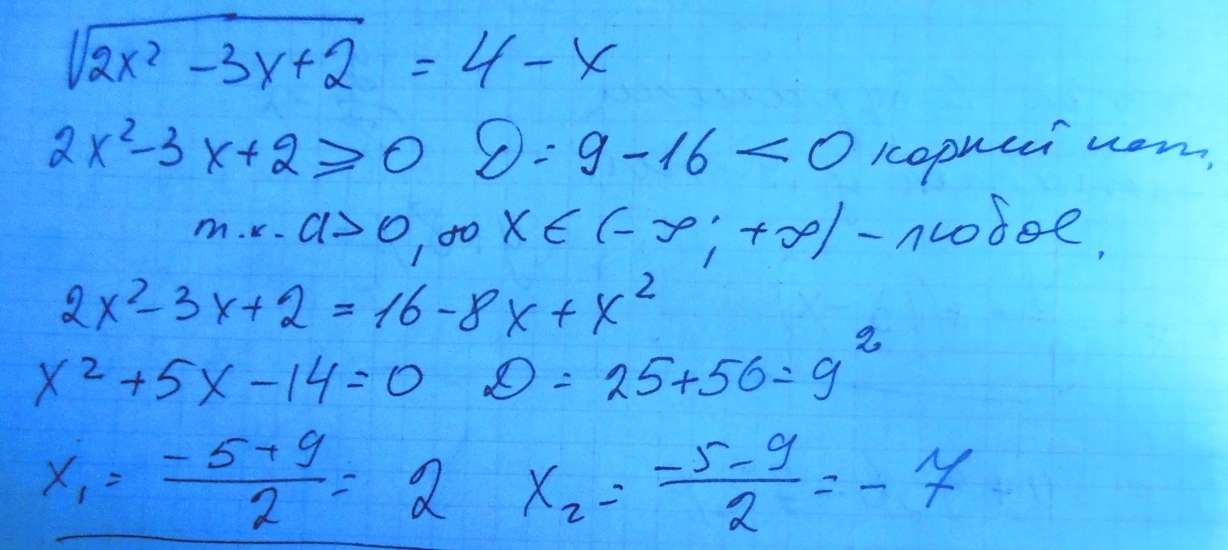
Ответы

Ответ дал: miron2077
0

!!!!!!!!!!!!!!!!!!!!!!!!!!!!!!!!!!!!

Приложения:
Вас заинтересует