• Предмет: Алгебра
  • Автор: valyabiryukov
  • Вопрос задан 8 лет назад

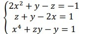
Помогите решить задачу,

Приложения:

Ответы

Ответ дал: artalex74
0

 begin {cases} 2x^2+y-z=-1 \ z+y-2x=1 \ x^4+zy-y=1 end {cases}

Сложим первое и второе уравнения этой системы:

 2x^2-2x+2y=0\ x^2-x+y=0\ y=x-x^2

Подставим полученное выражение для у во второе уравнение системы:

 z+x-x^2-2x=1\ z=1+x+x^2

Получим систему уравнений:

 begin {cases} y=x-x^2 \ z=1+x+x^2\ x^4+zy-y=1 end {cases} <=> <br />begin {cases} y=x-x^2 \ z=1+x+x^2\ x^4+(1+x+x^2)(x-x^2)-(x-x^2)=1 end {cases} \ <=> begin {cases} y=x-x^2 \ z=1+x+x^2\ x^4+x(1+x+x^2)(1-x)-x+x^2=1 end {cases} <=> \  begin {cases} y=x-x^2 \ z=1+x+x^2\ x^4+x(1-x^3)-x+x^2=1 end {cases} <=> begin {cases} x^4+x-x^4-x+x^2=1\ y=x-x^2 \ z=1+x+x^2  end {cases} \ <=> begin {cases} x^2=1\ y=x-x^2 \ z=1+x+x^2  end {cases} =>

 begin {cases} x=-1\ y=x-x^2 \ z=1+x+x^2  end {cases}   или      begin {cases} x=1\ y=x-x^2 \ z=1+x+x^2  end {cases}

 begin {cases} x=-1\ y=-2 \ z=1  end {cases}      или      begin {cases} x=1\ y=0 \ z=3  end {cases}

Ответ: (-1;-2;1), (1;0;3)

Ответ дал: valyabiryukov
0
Может 1:0:3? Там же 3, 1+1+1=3
Ответ дал: valyabiryukov
0
В ответе
Ответ дал: artalex74
0
согласен. опечатка. дадут исправить - сделаю ))
Вас заинтересует