• Предмет: Математика
  • Автор: misisshef
  • Вопрос задан 8 лет назад

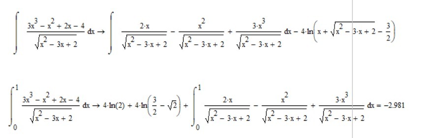
Помогите решить,пожалуйста. Пример на фото.

Приложения:

Ответы

Ответ дал: BatonReal
0

какой-то у тебя маленький интеграл

Приложения:
Ответ дал: misisshef
0
Большое спасибо
Вас заинтересует