• Предмет: Математика
  • Автор: Treibl
  • Вопрос задан 8 лет назад

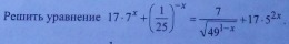
Решить уравнение:
Заранее спасибо!!!!

Приложения:

Ответы

Ответ дал: Аноним
0

Перепишем уравнение в виде:

17*7^{x}+5^{2x}=7*(7^{2-2x})^{-frac{1}{2}}+17*5^{2x}

17*7^{x}+5^{2x}=7*7^{x-1}+17*5^{2x}

17*7^{x}+5^{2x}=frac{7*7^{x}}{7}+17*5^{2x}

17*7^{x}-7^{x}=17*5^{2x}-5^{2x}

7^{x}(17-1)=5^{2x}(17-1)

7^{x}=25^{x}

(frac{7}{25})^{x}=1

(frac{7}{25})^{x}=(frac{7}{25})^{0}

x=0

3) по определению логарифма перепишем уравнение в виде

lg(x^{2}-21)-2=lgx-lg25

lg(x^{2}-21)-lg100=lgx-lg25

lg(x^{2}-21)=lgx-lg25+lg100

lgfrac{x^{2}-21}{x}=lgfrac{100}{25}

frac{x^{2}-21}{x}=4

frac{x^{2}-21-4x}{x}=0

x=-3 не подходит по одз

х=7

Вас заинтересует