• Предмет: Математика
  • Автор: SonikOk
  • Вопрос задан 8 лет назад

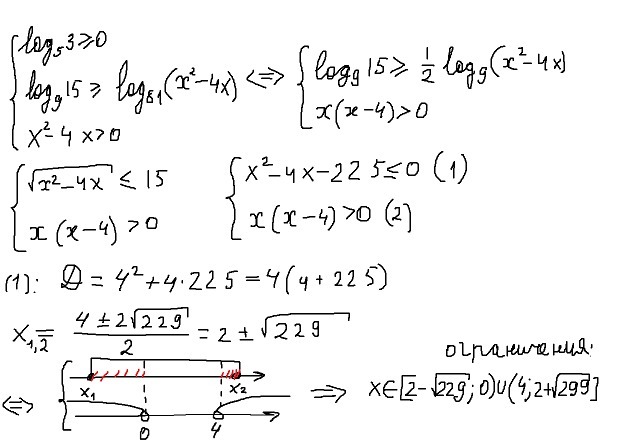
Решите уравнение 5 sqrt{log_{5}3 } =9 sqrt{log_{9}15 - log_{81}( x^{2} -4x) }

Ответы

Ответ дал: GeniusEnstein
0

Не знаю, каким образом нужно дойти до такого ответа, ограничения выписал

(ошибки нет?)

Приложения:
Вас заинтересует